重要事情说在前面,耀华中学的这道题真的可以入围天津市2019年年度高三数学经典问题前三名了,非常有意思的一道八个零点问题,考查周期性,考查观察题意区间开闭问题,考查画图技能,临界条件的把握,还考查能否观察出简易方法确定临界条件(我发现了
![]()
),这是一道非常值得思考的经典问题。

如何审题?如何切入?
1.两个函数均为周期函数,经分析易知:f(x),T=4; g(x),T=2
2.f(x)的图像为以(1,0)为圆心,1为半径的上半圆,经过周期循环如图所示。K影响g(x)的斜率,即直线倾斜程度。3.抓住临界条件为解题关键。
使用动图分析此题(这么经典的问题,我一定做个gif给你看看它有多优美),
如图所示:

局部放大:

临界条件确定的方法:
(让我们虚拟一个半圆,将问题限制在"第一个周期"内进行分析):
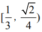
(1) K<0 时,直线与半圆相切,利用圆心到直线的距离=1,可计算此时Kmax,而kmin的确定是直线经过圆上点(1,-1)

解得

(2) K>0 时,直线与半圆相切,利用圆心到直线的距离=1,可计算此时Kmin,而kmax的确定是直线经过圆上点(1,1)

解得

(3) K=0 时,居然符合题意(隐蔽的陷阱,不分析这个状态,一律扣五分
![]()
)
同学们!这道题和2017年南开区一模选择8很像,尽管已知条件里0是开区间,但是人家求[0,11](这里出题人把它猝不及防地改成了闭区间),所以f(0),g(0)的计算要根据T去计算,而不是利用函数解析式计算。经分析,K=0是符合题意的,如下图所示:

综上:

感谢浏览
![]()
如果你有更好的解题思路,记得后台留言和田老师一起讨论:)
欢迎扫码关注
每天解析市五所数学典型题