本篇文章的主旨是关于药物辅料对药物稳定性的影响综述。

主要内容如上,看不清没事,下面会分类详述。
(既然来了,就多带点东西离开,不必客气)
可以为药物研究者提供:
辅料和药物具体的反应途径和机理
提供了大量药物案例中降解的主要杂质结构
详述辅料不相容的主要反应基团,杜绝药物相容性问题出现
辅料-药物相互作用有两种形式:
化学相互作用:发生了化学键的改变,可能减少药物的有效含量,产生的杂质可能会引起安全性和耐受性问题。
物理相互作用:可能会影响药物溶出性质、均一性和给药的简易性。
主要由辅料引起的不相容反应分为以下几类:
一、含有醛类活性基团的辅料一般辅料中的醛类有两种来源:
合成辅料过程中使用的醛类残留
辅料发生降解生成含有醛类的杂质
辅料中最常见的醛有甲醛、乙醛、苯甲醛和糠醛。
1:法莫替丁和香精中的苯甲醛加合法莫替丁口服液中加入了一种改善口感的樱桃香精,而樱桃香精的调配过程中会加入苯甲醛,苯甲醛和法莫替丁的末端胺基会发生缩合反应。

2:肠外制剂中的苯甲醇氧化降解成醛
苯甲醇在静脉用药、化妆品和外用药物中用作低浓度抑菌防腐剂。
苯甲醇氧化降解成苯甲醛以及衍生的多种降解物。

苯甲醇的这些氧化产物在溶液中反应,形成苯甲醛二苄基缩醛。
3:香兰素和胺类药物反应含有香草醛的香料与API反应,形成亚胺。香兰素的醛官能团反应导致形成顺式/反式亚胺和手性中心的反转。

4:吐温80引起的BMS-204352甲醛加合物研究BMS-204352临床制剂中的降解产物,确定为BMS-204352的甲醛加合物。
配方中的吐温80和PEG 300是甲醛的主要来源。

5:苯肾上腺素与甲醛和5-HMF的反应
含有苯肾上腺素和蔗糖的制剂可能会减少药物的有效含量。

和甲醛的反应
证据表明,苯肾上腺素与醛(如甲醛或5-HMF)的缩合反应导致苯丙氨酸的降解。醛类的来源主要是糖辅料发生美拉德反应降解而来。

和5-HMF的反应
6:苯甲醛诱导环庚肽氧化降解环肽药物冻干制剂在固体状态发生氧化降解,苄胺被氧化成醛。然而该氧化并非由氧气引起 ,而是体系中的苯甲醛介导生成。

经过希弗碱,然后双键异构,最后水解为苯甲醛结构的机理。
二、酯化和酯交换酯交换反应是含有酯基的药物和辅料中的醇类发生交换反应。
酸和碱均可以催化该反应,一些生物酶-脂肪酶也能催化该类反应。
一些大分子的醇比较容易和药物中的甲酯和乙酯发生反应,因为小分子的甲醇和乙醇的挥发会加速酯交换的平衡。
1:对羟基苯甲酸酯和辅料中的糖酯交换口服悬浮剂配方中经常会同时使用对羟基苯甲酸酯和糖醇。对羟基苯甲酸酯通常作为抗菌剂。
很显然,这两种配方可能不相容。
实验中,对一批次含有山梨醇和对羟基苯甲酸酯的口服悬浮剂进行研究,发现在30℃条件下保存一年后,样品降解1%.

经过分离鉴定,发现山梨醇可以生成6种异构体,主要是由于不同位点的羟基酯化引起。
2:氨基水杨酸和柠檬酸酯化反应在研究灌肠制剂时发现,5-氨基水杨酸和柠檬酸共存,储存一段时间后发现多种降解产物,分别是形成酰胺以及不同位点的酯化。

大约有5%的氨基水杨酸迅速转化成该类杂质,因此在水杨酸的液体制剂中不推荐使用柠檬酸。
3:氨基己酸和柠檬酸的酯化反应氨基己酸和柠檬酸在PH=4、5的溶液中酯化较快。此外氨基己酸也会自身降解,生成二聚体、三聚体和环合形式。

4:西替利嗪和甘油、山梨醇的酯化反应
低于40℃条件下,一周时间之后,西替利嗪有1%左右发生酯化降解。西替利嗪浓度和市场销售的制剂浓度一致。

5:哌醋甲酯和甘油的酯交换反应
在哌醋甲酯的降解实验中,40℃/75%RH条件3个月,25℃/60%RH条件18个月,约0.6%的哌醋甲酯和甘油反生了酯交换。

6:卡维地洛和柠檬酸的酯化反应
卡维地洛和柠檬酸固体状态反应,生成两种RR/RS非对映异构体以及三种不同位点结合的酯和酰胺。

柠檬酸中的含水量将会大大促进反应进行,使用无水柠檬酸代替一水柠檬酸时,反应速度降低了8倍。
7:丁丙诺啡在柠檬酸共存下的降解丁丙诺啡和纳洛酮舌下片配方中均含有柠檬酸,存在很多未知杂质。
通过LC-MS表征以及EP专著证明该杂质为以下结构。

丁丙诺啡脱水后环化形成呋喃。
三、形成硫酸加合物在分析地塞米松磷酸钠注射液稳定性样品时,发现一个未知杂质。研究表明,该杂质是地塞米松磷酸钠和亚硫酸氢钠之间发生亲核加成生成的磺化杂质。

四、硬脂酸镁引起的药物相容性问题
硬脂酸镁是一种白色物质,室温下为固体,用于药品片剂和胶囊的制造。它由镁和硬脂酸组成,通常还包括棕榈酸。
硬脂酸镁是片剂最常用的润滑剂。
有时,在硬脂酸镁的存在下,药物也会引起不相容问题,产生降解杂质。
1:他克莫司的二苯乙醇酸重排他克莫司是一种大环内酯类药物,广泛用作有效的免疫抑制剂。
在硬脂酸镁存在下,催化发生苯乙醇酸重排反应,降解形成α-羟基酸。

2:诺氟沙星的氨解反应
诺氟沙星与硬脂酸镁反应,形成硬脂酰胺加合物。
这种加合物的形成是在60?C下长时间储存后观察到的。由于硬脂酸镁中的硬脂酸源于多种混合酸,如棕榈酸、花生酸和苯甲酸。它们存在可能导致形成不止一种加合物。

3:硬脂酸镁对福辛普利钠的金属诱导降解
福辛普利钠片剂配方中用硬脂酸镁润滑剂,形成三种降解产物。
有少量的水参与会加速该反应。

4:杜洛西汀和HPMCAS的反应
杜洛西汀与配方中存在的羟丙基甲基纤维素琥珀酸酯(HPMCAS)和羟丙基甲基纤维素邻苯二甲酸酯(HPMCP)中的降解产物或残余游离酸反应,分别形成琥珀酰胺和邻苯二甲酰胺杂质。

高温高湿条件加速该反应。
五、乳糖的美拉德反应美拉德反应是以Louis Maillard的名字命名的,他在80多年前报告了一些胺和还原性碳水化合物反应生成棕色颜料。
美拉德反应广泛存在于食品和药物中,它已经被广泛的研究和评论。
该反应的第一个产物是简单的糖基胺,它容易经历Amadori重排产生1-氨基-1-脱氧-2-酮糖。
还原性碳水化合物(如葡萄糖、麦芽糖和乳糖)是美拉德反应的底物,因为它们的环状互变构体与其更具活性的醛形式处于平衡状态;
非还原性碳水化合物(如甘露醇、蔗糖和海藻糖)不受美拉德反应的影响。
虽然早期的科学家认为只有伯芳胺才能进行这种反应,但后来的研究表明,几乎所有的伯胺和仲胺,无论是芳香的还是脂肪族的,都能够进行这种反应。
氨基酸和蛋白质也是美拉德反应的底物。
虽然该反应产物的临床意义还未清楚,但是作为一名制剂学者,在进行处方筛选时,首先要考虑美拉德反应。
1:氟西汀和乳糖发生美拉德反应氟西汀含有仲胺,与乳糖发生美拉德反应,形成甲酰氟西汀,确定为这一美拉德反应的主要产物。水分含量、溶液浓度和温度是影响降解的主要因素。

2:西替利嗪与羟丙基纤维素中的乳糖反应
西替利嗪含有羧酸基,与羟丙基纤维素(HPC)、低羟基丙基纤维素(LHPC-31)和微晶纤维素(MCC)中存在的乳糖反应时形成乳糖酯。

3:西罗普利在甘露醇存在下的降解西罗普利是一种具有伯胺基团的ACE抑制剂,它与甘露醇和二元磷酸钙形成降解产物相互作用。

根据药物辅料相容性研究,乳糖和甘露醇被排除在配方之外。
4:奥氮平在乳糖存在下的降解实验奥氮平对温度和湿度敏感。可以降解成苯二氮卓基团杂质和N-氧化杂质。
水在药物-赋形剂混合物中的物理状态决定了它在药物-赋形剂相互作用中的作用。

当接触到湿度时,水被吸附在它们的表面上,然后附着在位于它们上面的极性基团上。从而导致奥氮平的降解。
5:氢氯噻嗪和乳糖缩合在30%水存在下,加热到60℃两周时间,观察到乳糖和氢氯噻嗪的胺之间产生了缩合杂质。

结果表明,氢氯噻嗪和乳糖只发生反应到schiff's base 阶段,并没有发生Amadori重排以及后续的美拉德反应。
6:乳糖引起的普瑞巴林降解普瑞巴林稳定性放置长时间后,和辅料乳糖发生了美拉德反应,形成一系列的加合物。这些结合物中有7个含有普瑞巴林的内酰胺部分,加热后杂质增大。

有4种降解产物是乳糖降解的葡萄糖和普瑞巴林发生Amadori重排得到的Amadori加合物。
7:乳糖引起的阿昔洛韦降解通过LC-MS研究发现阿昔洛韦和乳糖发生加合。
固体配方中,阿昔洛韦发生美拉德反应的可能较小。因此降低配方中的水分对稳定性有益。

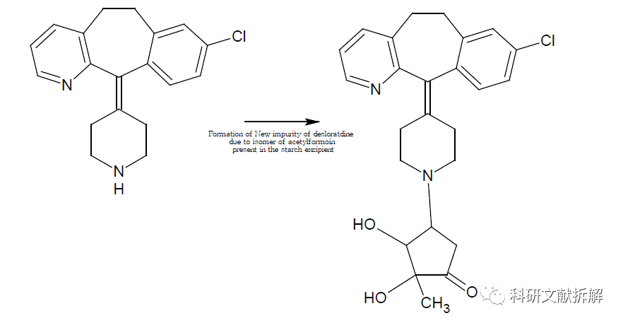
8:淀粉和麦芽糖引起的地氯雷他定降解
地氯雷他定与麦芽糖反生开链反应,通过Amadori重排形成麦芽糖加合物。

并且发现在其中一种配方中,地氯雷他定与乙酰福莫林的异构体反应,乙酰福莫林的异构体以杂质的形式存在于一种淀粉赋形剂中。

9:乳糖引起的氨氯地平的降解苯磺酸氨氯地平的固态制剂中存在乳糖、硬脂酸镁和水的情况下是不稳定的。
主要降解物是苯磺酸氨氯地平和乳糖之间发生的美拉德反应产物。

六、过氧化物引起的降解过氧化物是存在于许多赋形剂中的活性物质。这些有机过氧化物起氧化剂的作用,并与药物直接作用形成降解物。
它们加热产生自由基,可以引发链式反应。
以聚乙二醇,硬脂酸和环氧乙烷为基础的材料含有过氧化物。比如吐温80、吐温20等。
选择含有过氧化物的赋形剂时,应注意敏感的药物基团。
1:雷洛昔芬N-氧化物的形成雷洛昔芬的N氧化物杂质是由于聚维酮和共聚维酮赋形剂中残留的过氧化物氧化生成。
N-氧化物可能会是限度更低的基因毒性杂质,因此该研究可以作为一般市售的聚维酮中过氧化物残留的参考标准。

虽然以往认为在大气氧存在下,过氧化物残留会增长,但是在制剂中研究发现,主要的过氧化物还是来源于辅料本身的过氧化物残留,因此控制好聚维酮的过氧化物,将有助于雷洛昔芬的稳定性。
2:过氧化物导致氟奋乃静降解氟奋乃静由于吩噻嗪基的氧化而形成几种N-氧化物。主要原因是赋形剂中存在的过氧化物的氧化。

N-氧化物、S-氧化物通常是光诱导氧化的结果。氟奋乃静分子含有四个潜在的氧化位点,因此理论上可能有十五个氧化杂质。
药物-辅料降解的控制策略控制辅料的初始过氧化物水平,更敏感者,可以尝试购买无过氧化物辅料
考虑到辅料的自氧化,可以尝试使用含有不同过氧化物浓度的辅料进行稳定性研究
开发灵敏的分析方法,可以监控初始水平以及放置过程中的增长水平
含有胺基的药物应注意辅料中的醛类杂质
可以更换氧气渗透更低的药品包装
一些还原金属包材,可以吸收氧气
注意辅料中的水分以及防水的包材
本文只说明了结果,如果想要详细研究具体的药物降解机理,可以参考该文章:35种药物降解成基因杂质的机理研究
想要研究基因毒性杂质可以参考:基因毒性杂质和DNA反应机理大全 理解原理 轻松记住所有基毒

觉得有点帮助的朋友,可以关注分享一下,多谢。
参考文献:
Drug-Excipient Interactions: Case Studies
and Overview of Drug Degradation
Pathways
DOI:10.4236/ajac.2016.71011